功率放大器在抗疲勞高壓電壓電材料研究中的應用
實驗名(ming)稱:功率放(fang)大器在抗疲勞(lao)高壓(ya)電壓(ya)電材料研(yan)究(jiu)中的應用
研究(jiu)方向(xiang):壓電(dian)材料
實驗內容(rong):
利用函數發(fa)生器設置(zhi)想(xiang)要加載在(zai)樣品兩端的波(bo)形,將電壓(ya)信(xin)號輸入安泰電子的ATA-2161電(dian)壓(ya)(ya)(ya)放大(da)(da)(da)器,根(gen)據自己所需電(dian)壓(ya)(ya)(ya)設置放大(da)(da)(da)器放大(da)(da)(da)的倍(bei)數,并將放大(da)(da)(da)的正負輸出端分(fen)別(bie)加載于負載兩端,同時(shi)在實(shi)驗過程中(zhong),利用放大(da)(da)(da)器尾(wei)端監視接口(kou)連接示(shi)波器,實(shi)時(shi)檢測實(shi)驗過程中(zhong)電(dian)壓(ya)(ya)(ya)信號。對材(cai)料施(shi)加交流電(dian)壓(ya)(ya)(ya)循環(huan)測試(shi),檢測其抗疲勞(lao)特性(xing)
測(ce)試目的:檢測(ce)材(cai)料在疲(pi)勞循環下的電學性能變化
測試(shi)設備:函(han)數發生器、高壓(ya)放(fang)大器、示波器
放大器型(xing)號:ATA-2161功(gong)率放大器
實驗過程:
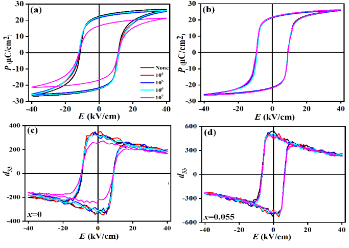
實驗(yan)目的(de)是(shi)測試壓(ya)(ya)(ya)電陶瓷在經過不同周次循(xun)環后電學性(xing)(xing)能(neng)特性(xing)(xing),壓(ya)(ya)(ya)電陶瓷片表面(mian)被銀后放(fang)在特制的(de)加壓(ya)(ya)(ya)模具(ju)(ju)中(zhong)(zhong),整個模具(ju)(ju)浸泡在硅油中(zhong)(zhong),防止高壓(ya)(ya)(ya)產生的(de)電火(huo)花引(yin)發(fa)危險。首先(xian)利(li)用函(han)數發(fa)生器(qi)設置想要加載在樣品(pin)兩端的(de)波形(xing),將電壓(ya)(ya)(ya)信號輸入ATA-2161電壓(ya)放大器(qi),根據自己所需(xu)電壓(ya)設(she)置(zhi)倍數,并(bing)將放大的(de)正(zheng)負輸出端(duan)分別夾在模具的(de)正(zheng)負極,整個實驗過程中(zhong),在放大器(qi)尾(wei)端(duan)連(lian)接示(shi)波(bo)器(qi),實時(shi)檢測實驗過程中(zhong)電壓(ya)信號(hao)。

測試(shi)結果:
利(li)用ATA-2161高壓放大器對(dui)樣(yang)品進行加(jia)壓(ya)(ya)測(ce)試(shi)(shi)后(hou)(hou),通過(guo)所(suo)加(jia)電(dian)壓(ya)(ya)頻(pin)率及時間測(ce)算電(dian)場(chang)循(xun)環的頻(pin)次(ci),在施(shi)加(jia)不同次(ci)數的電(dian)壓(ya)(ya)后(hou)(hou),放入專門測(ce)試(shi)(shi)儀器(qi)中測(ce)試(shi)(shi)其電(dian)學性(xing)能,具(ju)體結果如下圖所(suo)示,左右兩列為不同組分的性(xing)能測(ce)試(shi)(shi)圖,對(dui)比(bi)改性(xing)前的組分,改性(xing)后(hou)(hou)的組分有(you)明顯的電(dian)場(chang)抗疲(pi)勞效應,施(shi)加(jia)電(dian)場(chang)循(xun)環后(hou)(hou)仍能保持很(hen)好的電(dian)學特性(xing)。

放大(da)器在該實(shi)驗(yan)中(zhong)發揮的效能(neng):將函數發生器(qi)中(zhong)的電壓信號(hao)放大(da)
功(gong)率放大器ATA-2161電壓放大器參數指標:

本文實驗(yan)素材由西安安泰電子整理發布,西安安泰電(dian)子是專業從事功率放大器、高壓放大器、功率信號源、前置微小信號放大器、高精度電壓源、高精度電流源、功率放大器模塊等電子測量儀器研發、生產和銷售的高科技企業。公司致力于功率放大器、計量校準(zhun)產品等產品為(wei)核心的(de)相(xiang)關行(xing)業測(ce)試(shi)解(jie)決方案(an)的(de)研究,為(wei)用戶提供具有競爭(zheng)力的(de)測(ce)試(shi)方案(an),Aigtek 已經成為在業界擁有廣泛產品線,且具有相當規模的儀器設備供應商,樣機都支持免費試用。如想了解更多實驗方案,請持續關注安泰電子官網hkdyw.cn或(huo)撥打029-88865020。

























