電壓放大器在預制塊嵌入法波動監測試驗研究中的應用
實驗名稱:預制塊嵌入法波(bo)動監測試驗研究
研究方(fang)向:超聲檢測
測(ce)試(shi)目的:
壓(ya)電(dian)智能(neng)骨(gu)料是目(mu)前(qian)用(yong)于混凝土結(jie)構(gou)健康監(jian)(jian)測(ce)中(zhong)常用(yong)的(de)(de)傳(chuan)感(gan)器(qi),可進(jin)行動(dong)態應(ying)力及材(cai)料性能(neng)的(de)(de)超聲(sheng)監(jian)(jian)測(ce)。壓(ya)電(dian)智能(neng)骨(gu)料嵌入結(jie)構(gou)時往往需要通過粘結(jie)或綁扎方式固定到鋼筋等支(zhi)撐(cheng)結(jie)構(gou)上,支(zhi)撐(cheng)結(jie)構(gou)干擾監(jian)(jian)測(ce)區(qu)域(yu)應(ying)力場(chang)且傳(chuan)感(gan)器(qi)位(wei)置(zhi)穩定性較差(cha),由(you)此影響監(jian)(jian)測(ce)精度。本文提出(chu)一種新(xin)型的(de)(de)壓(ya)電(dian)智能(neng)骨(gu)料嵌入方法——預制塊嵌入法。通過數值及試驗研究發現,與傳統嵌入方法相比新型嵌入方法顯著降低了對嵌入區域的應力場影響,且傳感器位置更穩定,監測隨機性更低。
測(ce)試設備:ATA-2041電壓放大器(qi)、任意波形發生(sheng)器(qi)、采集卡、電荷放大器(qi)、電腦。
實驗過程:
準備(bei)三根鋼筋混凝(ning)土(tu)柱作為試(shi)件,將每個鋼筋混凝(ning)土(tu)柱中的12個正應力壓電智能骨料分為6條路徑,每條路徑由上下對正的兩個正應力壓電智能骨料組成,靠近地面的為激勵端,另一個為收發端,同層的壓電智能骨料盡量布置在柱中且保證相互之間留有適當的間距。

圖:波動監測試驗系統流程圖
先通過任(ren)意波形發生器調(diao)制信號(hao),傳到ATA-2041功率放大器內增益信號的幅值,通過作為激勵端的正應力壓電智能骨料振動發射信號,振動信號由作為接收端的正應力壓電智能骨料接收轉為電信號,電信號通過高頻的電荷放大器轉為電壓信號由采集卡接收并最后傳到裝載LABVIEW2014軟件的筆記本電腦內進行記錄。本試驗采集數據的程序通過商業軟件LABVIEW2014版編程,數據處理程序采用商業軟件MATLAB編寫,最后通過ORININ9版和CAD2014版進行統一出圖。

圖:波動監測試驗現場(chang)照片(pian)
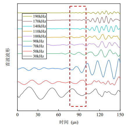
本文選用中心頻(pin)率從30kHz、50kHz、70kHz、90kHz、100kHz、110kHz、140kHz、170kHz和190kHz共9類調制的六周期正弦信號(每個周期時長記為T)。

圖(tu):30kHz-250kHz首波信號波形示意圖
實驗(yan)結果:

圖:不同嵌入方法波動參數對比:(a)波速、(b)中心頻率和(c)幅值
試驗發現(xian)即使(shi)是(shi)采用(yong)預制(zhi)塊嵌(qian)入法安裝壓電智能骨料用(yong)于波動監測時,六個路徑的波幅(fu)變異系數(shu)也達到(dao)了46%。當使用FieldII(可供MATLAB調用的程序)做了一個波動監測試驗的模擬,設置了5條路徑,在不考慮嵌入干擾的前提下,僅僅改變5條路徑中粗細骨料的分布狀況,5條路徑的接收信號頻域波幅的變異系數約為45%,而本試驗采用預制塊嵌入法安裝壓電智能骨料做波動監測,五條路徑的波幅變異系數達到了46%。這說明了頻域波幅的變異性主要是由混凝土骨料的隨機分布引起的。即使是以波幅為指標,還是預制塊嵌入法安裝的正應力壓電智能骨料響應的隨機性最小,采用預制塊嵌入法(CBC)可顯著降低由于嵌入引起的波動監測的隨機性,其幅值變異系數分別是十字節點綁扎法(CJB)和對側粘貼法(DSB)的92.5%和94%。預制塊嵌入法波速的變異系數分別是兩種傳統嵌入方法的28%和25%,中心頻率變異系數分別是兩者的96%和62.5%.。綜合來采用預制塊嵌入法安裝正應力壓電智能骨料用于波動監測時,正應力壓電智能骨料受到的嵌入影響最小。

圖:ATA-2041高壓放大器指標參數
本文實驗素(su)材由西安(an)安(an)泰電子整(zheng)理發布。西安安泰電子是專業從事功率放大器、高壓放大器、功率信號源、前置微小信號放大器、高精度電壓源、高精度電流源等電子測量儀器研發、生產和銷售的高科技企業。公司致力于功率放大器、功率信號源、計量校準源等產品為核心的相關行業測試解決方案的研究,為用戶提供具有競爭力的測試方案,Aigtek已經成為在業界擁有廣泛產品線,且具有相當規模的儀器設備供應商,樣機都支持免費試用。如想了解更多功率放大器等產品,請持續關注安泰電子官網hkdyw.cn或撥打029-88865020。
本文實驗案例參考自知網論文《壓電智能(neng)骨(gu)料的混凝土預(yu)制(zhi)塊嵌入(ru)方法研究》
原文鏈接://hkdyw.cn/news/535.html

























