微位移平臺性能測試中功率放大器的應用
實驗名稱:基(ji)于壓電(dian)疊堆的(de)大力矩(ju)微位移平臺(tai)研(yan)究
研究方向:微(wei)位(wei)移平臺(tai)的性能測試(shi)
實驗內(nei)容:
為了掌(zhang)握微位移(yi)平臺的工作特性,必須(xu)通過實驗(yan)去進一步分析(xi)和(he)驗(yan)證其工作特性,運(yun)用了高(gao)速高(gao)精度的激光測試(shi)方式,對平臺進行靜態(tai)測試(shi)。
實驗設備:信號發生器、示波器、功率放大器、激光測試儀
實驗(yan)過程(cheng):
為了對微位移平臺進行測試,首先需要通過波形發生器和功率放大器為微位移放大機構中的壓電疊堆施加正向電壓,使其輸出相應的位移量,其次通過連接有電腦的激光測試儀對微位移平臺的位移進行實測。
測試系統組成為:
信號(hao)發生器是(shi)Tektronix的AFG320,示波器是Tektronix的TDS1012,功率放大器是Aigtek的ATA-4052高壓功率放大器,激光測試儀是Keyence的高速高精度激光位移傳感器(傳感頭LK-H020,控制器是LK-G5001V,電源是MS2-H50)。
微位(wei)移平臺(tai)測(ce)試系統如圖:

靜(jing)態位移特性測試:
靜態位(wei)移輸(shu)出測(ce)試(shi)(shi)是用來測(ce)定(ding)平臺(tai)輸(shu)出位(wei)移隨電(dian)壓變(bian)化(hua)的(de)(de)靜態變(bian)化(hua)性(xing)能。測(ce)試(shi)(shi)中,在固定(ding)鉸(jiao)鏈固定(ding)的(de)(de)情況下,對其中一個壓電(dian)疊堆施加電(dian)壓,然后用激光測(ce)試(shi)(shi)儀測(ce)試(shi)(shi)相對應的(de)(de)平臺(tai)位(wei)移量,驅動電(dian)壓范圍是0-200V,每(mei)隔40V做(zuo)一次(ci)測量,每(mei)次(ci)測量時(shi)驅(qu)動電壓加(jia)載時(shi)間為30s,得到平(ping)臺(tai)隨驅(qu)動電壓變(bian)化的(de)電壓位移關系。
為(wei)了掌握平臺隨電壓(ya)變化時的遲滯特性(xing),做如下測量:設置(zhi)驅動(dong)電壓(ya)范圍(wei)是(shi)0-100V,首先從0V逐(zhu)(zhu)步(bu)生壓(ya)到(dao)100V,然(ran)后再逐(zhu)(zhu)步(bu)減小(xiao)電壓(ya)至零。每隔5V記錄一個位(wei)移量(liang),重復測(ce)試(shi)并進(jin)行(xing)數(shu)據匯總處理后,得(de)出平臺(tai)的電壓(ya)-位(wei)移變化曲線(xian)。

穩(wen)定性測(ce)試:
穩定(ding)性測(ce)試(shi)就是用來(lai)測(ce)試(shi)微位移平臺的蠕變(bian)特性的,測(ce)試(shi)時,取7種電壓(ya)值,當施(shi)加某一電壓(ya)后,每隔30s記錄平臺對(dui)應的(de)位(wei)移量。

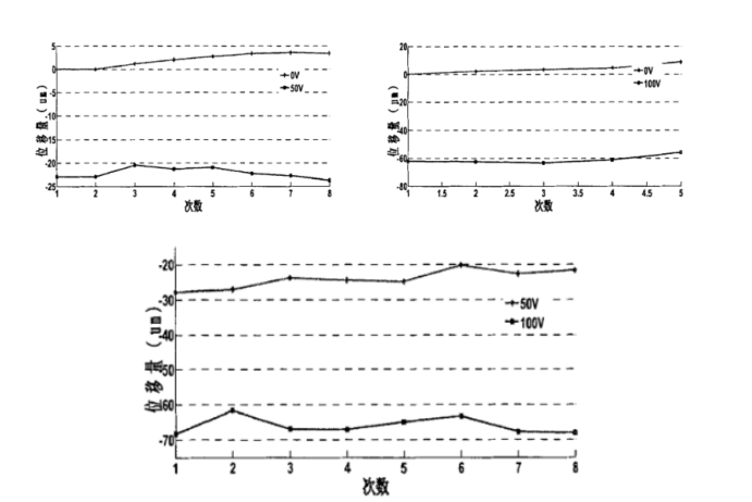
反復精度測(ce)試:
由于微位(wei)移平臺的(de)(de)(de)移動嗯號定位(wei)是由加(jia)載或撤除(chu)電壓的(de)(de)(de)壓電疊堆形變產生,所以(yi)壓電疊堆的(de)(de)(de)特性也就影響(xiang)了平臺的(de)(de)(de)運轉特性。通過微位(wei)移平臺在不同輸入電壓下,反復多次不清零的(de)(de)(de)情況下平臺的(de)(de)(de)位(wei)移情況進行測試,分別取(qu)50V和(he)100V對平(ping)臺在(zai)加(jia)載和(he)撤除電(dian)壓的(de)情況下,其位移(yi)變化曲線如下:

關于(yu)ATA-4052功率放大器介紹:
ATA-4052是一款理想的可放大交、直流信號的單通道高壓功率放大器。最大輸出310Vp-p(±155Vp)電壓,437Wp功率,可以驅動高壓功率型負載。電壓增益數控可調,一鍵保存常用設置,為您提供了方便簡潔的操作選擇,可與主流的信號發生器配套使用,實現信號的完美放大。
本(ben)文(wen)實驗(yan)素材由西安安泰電子整理發布,如(ru)想了解更多實驗(yan)方案(an),請持續關注安(an)泰官(guan)網hkdyw.cn。Aigtek是國(guo)內專業從事測量(liang)儀器研發、生(sheng)產和銷售的高(gao)科技企業,一直專注(zhu)于功(gong)率放(fang)大器、功率放大器模塊、高精度電流源等測試儀器產品的研發與制造。
原文鏈接://hkdyw.cn/news/658.html

























