功率放大器基于分布式剪切壓電片選擇激勵中的應用
實驗名稱:功率放大器基于(yu)分(fen)布式剪切壓電片的結構(gou)任意振(zhen)動純(chun)模(mo)態(tai)的選擇激勵應用(yong)
研(yan)究方(fang)向:振動模態分析
實(shi)驗內(nei)容:采用剪切型(d15)壓電長條來模擬線剪切力,基于模態對稱性特點,通過合理設計多個d15壓電長條的分布位置、極化方向與電場方向,即可選擇性的激勵出結構的任意振動模態。以矩形截面不銹鋼棒為例,采用不同激勵方式,僅用一對d15壓電長條,完成棒的彎曲、扭轉、縱振動模態的選擇性激勵。
測試目的:驗(yan)證方法的可行性(xing),確保目標模態(tai)能被選擇性(xing)激(ji)勵
測試設備:一對剪切型(d15)壓電長條,矩形截面(mian)不銹(xiu)鋼棒,信號發生器,ATA-2021H功(gong)率(lv)放(fang)大器,示(shi)波器等。
實驗過程:如圖所示,通過函數發生器產生連續正弦電信號,經功率放大器放大后,驅動粘貼于矩形不銹鋼棒上的一對剪切型(d15)壓電條產生連續剪切變形,從而實現分布式的類線剪切力驅動。通過設計壓電條的極化方向、電場方向、布置位置等參數,可以選擇性的激勵出矩形截面棒的彎曲模態、扭轉模態以及縱振動模態。矩形棒的振動頻響譜由多普勒激光測振儀測量,通過示波器進行采集。實驗中的掃頻、激光掃描、采集等過程通過筆記本電腦上編寫的Labview程序自動完成。

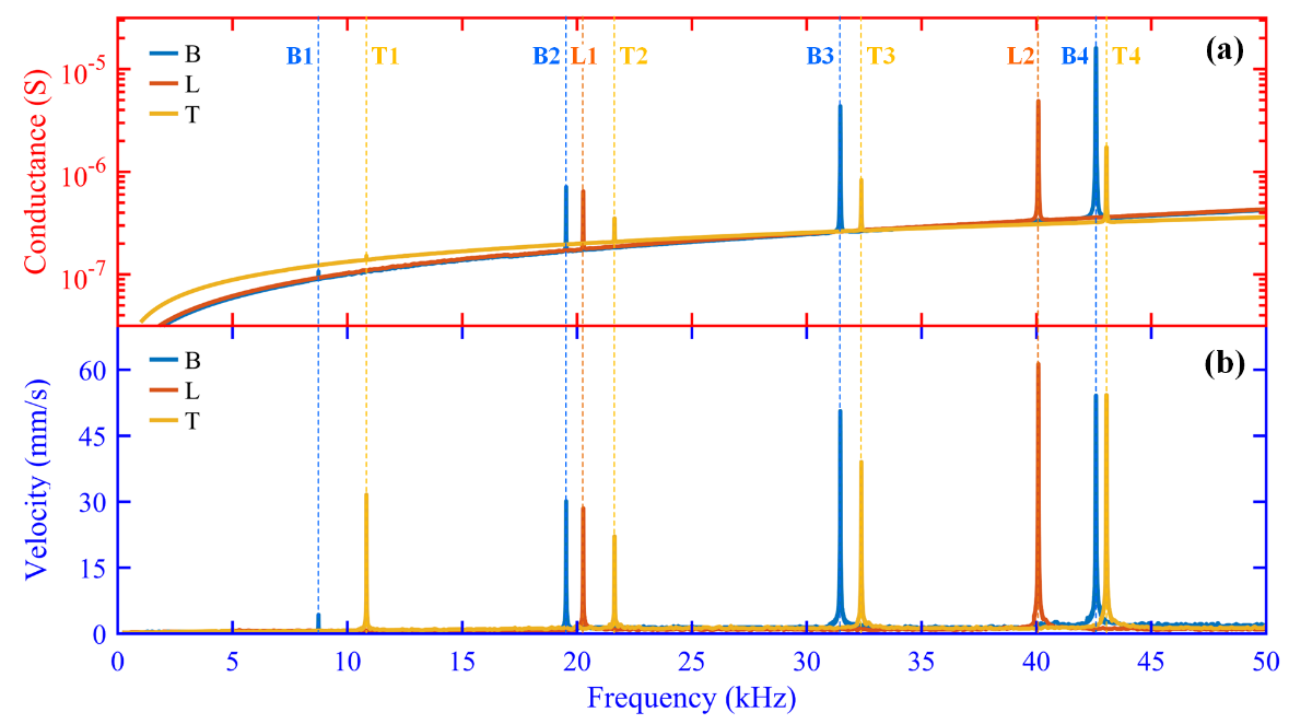
實驗結果:三條不同顏色的(de)曲線代表三種激勵方(fang)式下,激光(guang)測(ce)振儀(yi)所測(ce)得的(de)矩形截面棒的(de)速度(du)響應頻譜。可以看出,在(zai)設(she)計(ji)的(de)激勵方(fang)式下,彎(wan)曲(B)、扭轉(T)、縱振動(L)模態能夠被選擇性的激出,且具有相當高的純度,有助于分辨共振頻率接近的模態。

放大器在該實驗中發揮的效(xiao)能:放大函數發生器的輸入電信號,激勵壓電換能器產生足夠變形
您選(xuan)擇(ze)該放大器的原因:性能穩定。
功率放大(da)器ATA-2021H參數指標:

本文實驗素(su)材(cai)由西(xi)安(an)(an)安(an)(an)泰電子(zi)整理(li)發(fa)布(bu),西(xi)安(an)(an)安(an)(an)泰電子(zi)科技有限公司(Aigtek)是國內專業從事測量儀器研發、生產和銷售的高科技企業。公司致力于功率放大器、高壓放大器、功率信號源、功率放大模塊、計量校準產品等產品為核心的相關行業測試解決方案的研究,為用戶提供具有競爭力的測試方案,Aigtek 已經成為在業界擁有廣泛產品線,且具有相當規模的儀器設備供應商,樣機都支持免費試用。如想了解更多實驗方案,請持續關注安泰電子官網hkdyw.cn或撥(bo)打029-88865020。
原文鏈接://hkdyw.cn/news/771.html

























