高壓功率放大器在壓電驅動器的研究中的應用
實驗名稱:壓電(dian)驅動器的(de)電(dian)致振動特性(xing)研究(jiu)
研究(jiu)方向:壓電驅動器
測試(shi)目的:
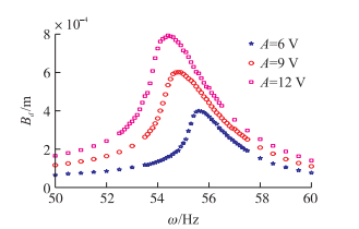
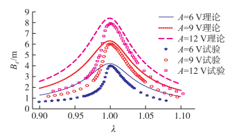
旨在分(fen)(fen)析壓(ya)(ya)電驅動(dong)器的(de)(de)(de)電激(ji)(ji)勵(li)振(zhen)(zhen)動(dong)特性(xing)。以雙晶壓(ya)(ya)電懸臂梁(liang)為對象(xiang),基于能量法和熱力(li)學平衡(heng)方程(cheng)推導(dao)了壓(ya)(ya)電懸臂梁(liang)在電壓(ya)(ya)激(ji)(ji)勵(li)下(xia)的(de)(de)(de)強迫振(zhen)(zhen)動(dong)微(wei)分(fen)(fen)方程(cheng)。利用自行搭建的(de)(de)(de)電激(ji)(ji)勵(li)振(zhen)(zhen)動(dong)試(shi)驗(yan)系統,測(ce)試(shi)了不(bu)同幅值交流電壓(ya)(ya)激(ji)(ji)勵(li)下(xia)壓(ya)(ya)電梁(liang)的(de)(de)(de)諧(xie)響(xiang)(xiang)應(ying)和瞬態響(xiang)(xiang)應(ying)。通過試(shi)驗(yan)驗(yan)證了理論(lun)(lun)分(fen)(fen)析的(de)(de)(de)合(he)理性(xing),討論(lun)(lun)了激(ji)(ji)勵(li)電壓(ya)(ya)和阻尼對諧(xie)響(xiang)(xiang)應(ying)和瞬態響(xiang)(xiang)應(ying)的(de)(de)(de)影響(xiang)(xiang)。結(jie)果表明:壓(ya)(ya)電懸臂梁(liang)的(de)(de)(de)諧(xie)響(xiang)(xiang)應(ying)呈非線性(xing),具有彈簧(huang)漸軟(ruan)(ruan)特性(xing);壓(ya)(ya)電梁(liang)的(de)(de)(de)共振(zhen)(zhen)頻率隨激(ji)(ji)勵(li)電壓(ya)(ya)幅值的(de)(de)(de)增大而減小(xiao),在6V、9V、12V交流電壓激勵下,壓電梁的共振頻率分別為55.6Hz、54.8Hz、54.4Hz;當激勵電壓頻率等于壓電梁的固有頻率時,其橫向振幅達到峰值;當激勵電壓頻率逐漸遠離壓電梁的固有頻率時,其振幅則迅速降低;激勵電壓頻率接近共振頻率時梁會發生“拍振”現象;阻尼對壓電梁的共振抑振作用最為明顯。
壓(ya)電(dian)驅(qu)動器(qi)因其(qi)輸出位移大(da)、靈(ling)敏度高、抗(kang)電(dian)磁(ci)干擾和(he)斷(duan)裂韌性強等優(you)勢,廣泛應用于高應變材料(liao)精密(mi)定位、多層器(qi)件設(she)計、便攜(xie)式(shi)電(dian)子(zi)器(qi)件的(de)大(da)規(gui)模制造工藝、微型機器(qi)人的(de)超聲(sheng)波電(dian)機和(he)智能結(jie)(jie)構(gou)等領域。由于壓(ya)電(dian)驅(qu)動器(qi)的(de)工作(zuo)與其(qi)振動特性密(mi)切相(xiang)關,所以深入(ru)了解電(dian)壓(ya)激(ji)勵下壓(ya)電(dian)結(jie)(jie)構(gou)的(de)振動特性具有(you)重(zhong)要(yao)意(yi)義。
測試(shi)設(she)備:ATA-4052高壓功率放大器、頻率(lv)特性分析(xi)儀、多(duo)功(gong)能信(xin)號發生器、激光位移(yi)傳感(gan)器、動態信(xin)號采集(ji)系統和(he)計算機。
實(shi)驗過程:
試驗開(kai)始前(qian),給予已(yi)安裝固定好的試件初始瞬時激(ji)勵,然后記錄(lu)其自由振(zhen)動(dong)瞬態響應曲線,多次測(ce)量取(qu)平均值,最后通過衰減系數法(fa)求出壓電(dian)懸(xuan)臂(bei)梁(liang)的阻尼比約為0.03。使用頻率特性分析儀測得壓電懸臂梁的第一階固有頻率為55.513Hz。使用多功能信號發生器輸入電激勵信號,經功率放大器和導線在壓電懸臂梁的上下表面電極上施加電壓。在壓電懸臂梁的共振頻率區間進行諧響應測試。在壓電梁的共振、近共振和遠離共振頻率區間測試壓電梁的瞬態響應。試驗過程中,利用激光位移傳感器測試壓電懸臂梁自由端的振動位移,并采集信號傳送到計算機進行顯示。
實驗(yan)結果:
基于(yu)能量法和(he)熱力學平衡方(fang)程推導了電壓激(ji)(ji)勵下(xia)壓電雙晶(jing)懸(xuan)臂(bei)梁的(de)強迫振(zhen)動微分方(fang)程,測試了電壓激(ji)(ji)勵下(xia)雙晶(jing)壓電懸(xuan)臂(bei)梁的(de)振(zhen)動響應(ying)(ying),理論與試驗結果相吻合。試驗結果表明,壓電梁的(de)振(zhen)動響應(ying)(ying)呈彈(dan)簧漸軟(ruan)特性,在6V、9V、12V交流電壓激勵下的共振頻率分別為55.6Hz、54.8Hz、54.4Hz。考慮工程實際中的非線性現象,若要增大壓電驅動器的驅動效率,增大激勵電壓幅值的同時還需適當減小激勵電壓頻率使其處于共振狀態。阻尼對共振響應的抑振作用最明顯,9V共振頻率電壓激勵下,t=5s時壓電梁在ζ=0.03時的振幅比在ζ=0.01時的振幅下降了約62.0%。本文所得結論可為提高壓電驅動器的驅動效率問題提供理論與實踐指導。

圖:試(shi)驗測試(shi)幅(fu)頻特(te)性曲(qu)線

圖(tu):試驗與理論幅頻特性的(de)比較(jiao)
安泰(tai)ATA-4052高壓功率放大器:

圖(tu):ATA-4052高壓功率放大器指標參數
本文實驗素材由西安安泰電子整理發布。西安安泰電子是專業從事功率放大器、高壓放大器、功率信號源、前置微小信號放大器、高精度電壓源、高精度電流源等電子測量儀器研發、生產和銷售的高科技企業。Aigtek已經成為在業界擁有廣泛產品線,且具有相當規模的儀器設備供應商,樣機都支持免費試用。如想了解更多功率放大器等產品,請持續關注安泰電子官網hkdyw.cn或撥打029-88865020。
原文鏈接://hkdyw.cn/news/518.html

























